首页
>
>
政府信息公开
>
>
法定主动公开内容
>
>
基层政务公开
>
>
文殊镇
>
>
法定主动公开内容
>
>
基层政务公开
>
>
养老服务领域
关于转发《甘肃省人民政府关于印发“十四五”老龄事业发展和养老服务体系规划的通知》的通知
发布日期:2022-12-22 15:48
浏览次数:
次
信息来源:嘉峪关郊区工作办公室
X
嘉
峪
关
市
老
龄
I作
委
员
会
办
公
室
文
|
h
r
h
︱
︱
嘉老龄办发
〔
2022〕
2号
关
于转发
《
甘肃省人
民政府关于
印发
“
十
四五
”
老龄事业发展和养老服务
体
系规划的通知
》的通知
市老龄
工
作委员会各成员单位
:
现将
《
甘肃省人
民政府关于
印发
“
十
四五
”
老龄事
业
发展和
养老服务体
系规划的通知
》
转发给你们
,请
认
真贯彻执行
。
龄
.
'·
.′
嘉峪关
~△
—
巾
老龄
工
作委员会办
公室
2022~岛
L
12月
·
12日
二
)二
C
叻
注
|妒
1.
vu
lyl
立
.括
侈
甘政发
〔
2022〕
68号
甘肃省人民政府关于
印发
“
十四五
”
老龄
事
业
发展和养老服务体系规划的通知
备
审、
自治焖人
民政府
,甘
肃矿
区办事处
,兰
州新
区
管委会
,省
政府备部
门
,中
央在甘备单位
:
现
将
《
甘肃省
“
十
四五
”
老龄
事
业
发展和养老
服务体
系规
划》印发给你们
,请
认真贯彻执行。
1
2
(此
件
公
开发布
)
甘
肃
省
人
民
政
府
文
件
日
I●
■●
·
~~
·
尔
、
/
:=·
'
0¢
★
★
”
〓
饣
〓
〓
甘肃省
“
十四五
”
老龄事业发展和
养老服务体
系规划
为实施积极应对人
口
老龄化国家战略
,根
据
啜
中华人民共和
国老年人权
益保
障法》
《国家积极
应对人
口
老龄化中长期规划》
《
“
十四五
”
国家老龄事业发展和
赛
老
服务体
系规划》《甘肃锚圃
民经
济和社会发展第
十
四
个
五
年规划和
二
O三
五
年
远景
目标纲
要》
,编
制本规划。
-、
规划宵爨
“
十
三五
”
时期
,按
照国家
蕈大
规划和重要政
|策
要求
,我
省
老龄事业和养老服务体
系发展不
断取得新成就
。
一
是老龄
政
策体
系不浙使全。涉老法规政策进
一
步完
善
,颁
布实施
《甘肃省老年
入权
益保濉条例》
∷
《
甘肃省养老服务条例
》
,制
定战舍
《甘肃省积
极应对人
田
老龄化
中长期规划
(2020—
2050年
)》
《
关于加
快推
进养老服务发展
的实施
意见》等地方
性法规和
一
系列政策
文件
,
法
规政策
的集成协
同效应不断增
强。
二
是社会保
障
水平稳
步提
升
。金省基本养老保
险参保
率达到
98.6%,基
本赛老保
险参保
人数达到
187⒉
68万
人。相比
“
十
二五
”
时期
,全
省企业离退休
(职
)人
员月人均养
老全达
到
2843元
,增
长
21.6%;机
关事
业
单位离退休
(职
)人
员月人
均养
老金达
到
5112元
,增
长
23%;
-2-
-3
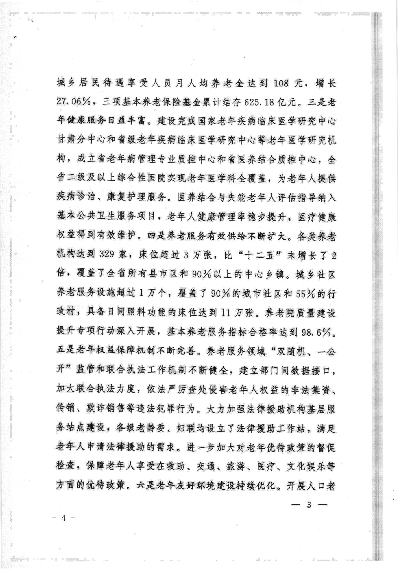
城
乡
居
民
待
遇
享
受
人
员
月
人
均
养
老
金
达
到
108元
,增
长
27.06%,三
项基本养老保险基全累计结存
625.18亿
元。
三
是老
年健康服
务
日益
丰富。建设完成
国家老年疾病临床
医学研究
中
心
甘肃分
中
心
和省级老年疾病临床
医学研
究中
心
等老年
医学研
究机
构
,成
立省老年病管理专业质控
中
心
和省医
赛结合质控
中
心
,全
省
二
级及
以上综合性医院实现老年
医学科全覆盖
,为
老年人提供
疾病诊治、康复护理服务。医
赛结合与失能老年人评估指
导纳入
基本公
共
卫
生服务项
目
,老
年人
健康管理率稳步提升
,医
疗健康
权益得到有效维护。
四
是养老服
务有
效供给不断扩
大。各类养老
机构达到
329象
,床
位超过
3万
张
,比
“
十
二
五
”
朱增
长
了
2
倍
,覆
盖
了全省所有县
市
区和
90%以
上的中
心
乡镇
。城
乡社
区
养老服务设施超过
1万
个
,覆
盖
了
90%的
城
市社
区
和
55%的
行
政村
,具
备
日
间照
料功能的床位达
到
11万
张。赛老
院质迁建设
提升专项行动深入开展
,基
本养老
服务指标合格率达
到
98.6%。
五
是老
年权益
保障机制不断完善
。养老服务领域
“
双随机、一
公
开
”
监管和联合执法
工
作机
制不断健全
,建
立
部
门间数据接
口
,
加大联合执法力度
,依
法严厉查处侵害老年入权
益
的非法集资、
传销
、欺诈销售等违法犯罪行为。大力加强法
律援助机构基层服
务站点建设
,各
级老龄委、妇联均设
立
了法
律援助
工
作站
,满
足
老年人
申请法律援助
的需求。进
一
步加大对老年优待政策的督促
检查
,保
障老年人享受在救助
、交通
、旅游、
医
疗、文化娱
乐等
方面的优待政策。
六
是老
年
友好环境
建设持
续优化
。开展人
口
老
4
3
龄化国传教育度
讲
活动
,大
力推进老年友好社会建设
,钿
琏全
国
示范性老
年
友好社
区
20个
,省
级和
市级老
年
交善
医疗机构
6在
家。积极开展适老化
改造
,着
力消除
“
数字鸿沟
”
,引
导和
帮助
老年人融入数字化生活
,为
老年人
提供
能感知、有温度、更便利
的服务。
“
十
四五
”
时期
是我
国开启全面
建设社会
主
义现代化
国家新
征程、向第
二
个百年奋斗
目标进军的第
一
个
五
年。党
中央把
积
极
应对人
口
老龄化上升为国家战略。省委省政府
高
度重视我省老龄
事业和养老服务体
系发展
,对
全省老龄事
业和产
业
高质透
发
展提
出了更高
要求。同时
,我
省还
拥有
革
富的旅游
资源
和
中
医
药资
源
,将
对扩大养老服务受众、促进老龄市场消费
|赋
予新的发展机
遇
。我省老年人
口
规模
大
,老
龄化速度
快
,全
省
60岁
及
以
上人
田
426.1万
入
,占
常住人
口
的
17.03%,2025年
我
省老年人
口
将
达到
533.3万
人
,老
龄化形势更加严峻
,老
龄事
业和养老服务体
系发展还存在短板
,养
老服务
供给和
需求
配工不够
均衡
,地
域
、
城
乡间养老服务发展水平仍然存在差距
,农
村赛老服务能力
比较
薄弱。随着人
民生活水平不断提高
,广
大老年人
的服务需求逐渐
从保降生存型向品质生活型转变
,我
省建设
与人
回
老龄化进程相
适应的老龄事业
和养老服务体
系的重要性和紧迫性
日
益凸显
,任
务更加艰
巨复杂。
二
、总体要求
(一
)指
导思想
。
以习近平新时代
中国特色社会
主
义思想为
-4-
-5
指导
,全
面贯彻党的
二
十大精神
,统
簿推进
“
五
位
一
体
”
总体布
局
,协
调推进
“
四
个全
面
”
战略布局
9立
足新发展
阶段
,完
整
、
·
准确
、全面贯彻新发展理念
,构
建新发展格局
,坚
持
以人
民为
中
心
的发展思想
,以
满足老年人
日益
增长
的多样化、多层次麟球为
根本
目的
,认
真落实省第十
四
次党代会攮神
9立
足
我省入
口
老龄
化程度和养老服务发展水平
,改
革创新
,综
合施策
,进
一
步理舨
政府
、市场、社会、家庭职
责功能
,加
快健全社会保
障体
系、
赛
老服务体
系、健康
支撑体
系
,推
动养老
事业和养老
产
业
协
同
发
展
,在
老有所赛、老有所
医、老有所为
、老有所学、老有所乐土
不
断取得新进展
,进
一
步增强全省老年人
在老龄化社会
中的获得
感、
幸福感、安全感
,共
享改革发展成果。
(二
)基
本原则。
系统谋
划
,整
体推进
。坚持应对人
田
老龄化和促进经济社会
发展相结合
,坚
持满足老年人
滁求和
解决人
口
老
龄
化
阔题相结
合
,统
簿把握老年群体
与全体社会成
员、老年期
与全
生命月
期
、
老龄政策与
公
共政策的关系
,系
统整体推进老龄事
业
发展
。
以人为本
,额
应趋势。
贯彻
以人
民为
中
心
的发展思想
,聚
焦
老年人在社会保
障、
赛老
、
医
疗
等
民生
问趣
上
的
“
急
难
愁
盼
”
,
加快建设符合省情、顺应入
口
老龄化趋势的保
障和服务体
系
-傥
化服务供给
,提
升服务质
i。
兜牢底线
,广
泛普惠。坚持在发展
中保
障和改善
民生
,强
化
政府保基本兜底
线的职能
,为
广
大人
民群众提供方便可及、价格
6
l
可负担
、质
I有
保
障的养老服务和产
品。
多方参
与
,共
建共
享。坚持政府
、社会
、
家庭
、个入共
同参
与、备
尽其责
,弘
扬
中华
民族孝
亲敬老传
统美德
,巩
固家庭养老
的基髓巍位
,打
遭老年友好型
社会
,同
时引导老
年入榭斑篮动使
康和终身发展理念
,鼓
励老年人积极面对老年
生活
,在
经
济社会
发展
中充分发挥作用
。
(三
)发
展
目
标
。
到
2025年
,积
极
应对人
田
老龄
化
的政策体
系逐
步完善
,老
龄事业和产
业有效协
同、高质鳖发展
的格
局初
步形成
。多支柱
、
全覆盖、更加公
平
、更可持续
的社会保
障体
系趋于完善。覆盖城
乡、分布
均衡
、功能完善、结构合理
、融合健康
、离效利用
、惠
及全体老年人
的
养
老服务供给进
一
步扩大。老年人健康
需求得
到
基本满足
,老
年人
健康水平不
断提
升
,健
康
预
期寿命
不
断延长
。
老年人教育培训、文化旅游
、健身休
闲、金融支持
等服务不
断丰
富。老年
人优待水平持续提高
,社
会环境更加适老
宜居
,镦
老
爱
老助老
的社会氛
圃
日益浓厚。
“
十
四五
”
甘肃老龄事业发展和养老服务体
系主要指标
7
序
号
招标
内容
2020年
数锺
2025年
鼠标傲
1
荠老服务床位总遇
14万
张
14.6万
张
臀琳
因难老年人月探访率
849‘
100%
3
葫建城区、新建居住
区曰套建设养老朕务设施
达标率
29.5%
100%
6
2
序
号
指标
内容
2Q2◇
年数值
2025年
国标值
4
养老机构护理型床位
占比
42冫
o
≥
55%
5
设立老年
医学科的
二
级及
以上综合医院占比
/
≥
60%
6
本科由校
、取业
院校弃老履务相关专业招生
湖祺
/
明显增
长
7
每干名老年人配备社会工作者人露
≥
1名
8
老年大学夜麓
面
./
每个
县
(市
、区
)
至
|少
】
所
9
“
敬老月
”
活动夜盥面
/∷
三
、织碎社会保障和兜底楼养老服务舞缭
(一
)充
分发挥社会保障制度作
用。
完善基本赛老保
险和基本
医疗保
险制度
。推动实现职
工
基本
养老保险由制度全覆盖到法定人群全覆盖。落实企业职
工
基本养
老保
险全
国统婷
,推
进
实施机关事业单位养老保
险制度。落实城
乡居
民基本养老保险待遇确定和基础养老全正
常调整机制
,逐
步
提高城
乡居
民基本养老保
险基础养老金标准
。完善社保基金监管
制度
,提
升社保基全监管水平
,确
保基金运行安全。建
立
与统簿
层次相适应
的社会保
险经办管理服务体
系。稳步推进长期护理保
险试点。将符合条件
的养老机构
内设
医
疗机构纳入医保定点
医
疗
机构
,落
实参保人员相关
医
疗保障待遇政策。
宪蕃社会救助和社会福利制
度
。健金分层分类的社会救助体
8
7
1名
每个
摄
(市
、匿
)
每年开展
1次
泰
,辂
符合条件的老年
人
纳
入相应社会救鸵蹯圈。裰据经济挂会
发展水平
,合
理确定兜底性养老服务对象、
内容和标准
。完善离
龄
.簿
贴
、护
:理
补贴、服务补舞等老年人补贴镧度
,切
实提离补贴
的猪准度和有效性”强化与残疾人
“
两项补贴
”
、社会
救助等
政
策的衔接。将政府购
买服务与满足老年人基本养老服务
礴求糖绪
合
,重
点安媾
与老年人
生活照料、康
复护理
等
密切相
关的项
目。
探
索通过政府购买服务等方式为经济
因难
的失
能老年人等提供必
要的访视
、照料服务
。
(二
)加
强
特殊
因难老年
人
保障。
完善老年人能力综合评估制度
。统箸现有的老年人能力、健
康、残疾、照护等相关评估制度
,通
过政府购
买服务等方
式
,根
据可满足
老
率
人能力综合评
常
需要的国家标准要求
”在全镭范阑
统
一
开展老年人能力与需求综合评估
,将
评估结果作为老年人接
受基本养老服
务的重要依播
,并
实现评估数鑫全
省共享共用。
建
立
基本养老服务清单制度
。聚焦老年人
物质帮助和
照
护
服
务等
内容
,翎
定发布
《
甘肃省
基本养老服务漉单》
,明
确吴
|体
服
务对象、内容
、标准等
,并
根据经济社会发展水平
、财力状况等
因素动态谡整
。
(三
)强
化公
办养老机构保
障作用。
坚持公
办养老机构
公益属
性。强化公
办养老机构兜底保
障
,
在满足有意愿
的特
因老年人集
中供养需求的前提下
,优
先为经济
因难
的空巢、留守、失能、残疾、
高龄老年人和计划生育特殊家
8
9
嶷老年人以及为国家和社会做
出特殊贡献的老年人
,提
供符合质
量和安全标
准
的养老服务。
提升公
办养老机构服务水平
。支持
公
办养老机构科学合理配
受生活、医疗
、康复、文化娱乐等设施设备
,完
善服务功能
,发
挥示范引领作用。全省所有县
(市
、
区
)至
少建有
1所
以失能、
部分失能特
困人
员专业照护为主的县级供养服务设施
(教
老
院
)。
生活不能
自理特
困人
员集
中供养
率达
到
60%,有
集
中供养
意愿
的特
因人员实现应养尽养
,提
升公办养老机构入住率和标准化服
务水平
,评
定为
二
级至三
级服务等级的县级公办养老机构建有率
达到
80%以
上。
加强突发事件应急能力建设。针对
公
共
卫生、
自然灾害等突
发事件
,增
设
隔离功能
,改
造
消
防设施
,配
备
必要
的物
资和
设
备
,加
强
人
员应
急知
识
培
训
,提
升
公
办养
老
机
构
应
急保
障
能
力。发挥公
办养老机构作用
,辐
射
带动月边备
类养老机构
完苷
突发
事件
预
防
与应
急准备
、监测
与预
告
、应
急处
王
与救
援
等
机锏
。
积
极推进
公
办养老机构改革。加快推进
公
办养老机构入住综
合评估和轮候镧度建设
,完
善公办养老机构委托经营机制
,改
革
决喻
格
为主的筛选标准
,综
合考虑从
业信誉、服务水平
、可持续
镂簿赝
|鳌
揩楱
。加强公
办养老机构委托运营监管
,进
一
步明确运
管嘈簸规则
,党
瞽退出保障机制。
(路
)加
快补
齐农村养
老服
务
短板
。推
动农村养老服务和
乡
-9—
—
-10-
椅摄
兴战略有效衔接
|,打
造县、乡、村
三
级衔接
篮邋
、功能互补
的农村养老服务设施体
系。支持将
乡镇敬老院改扩建为农村
区域
赛老服务
中
心
。统筹利
用村
内闲置公共
资源、租赁农村
闲丑住
磨
、改造
阏篮
学校
等
可利用
的场篮
,积
极建设农村互助幸褐
院。
为分数供养特因老年人提供
“
四
个
一
”
服务。健全农村
留守、经
济
因难等老年人定期探访关爱制度。健全突发事件处丑机制
,有
效防范和处王老年人存在
的生活安金风
险。鼓励社会力量参与运
营农村养老服务设施
,支
持其取得合理
回报。
四、扩大奋酪养老服务Ⅱ盖面
(五
)建
设
普
惠养老服务
网络
。
完善社
区
养
老服务
配套设施。加强对施
工
图审查机构的监督
播导
,在
新建住宅相关施
工
图审查
王
作
中
。将设计除段落实养老
服务设施规划情况纳
入
审查
范围。持续推动社
区养老服务设施建
设
,落
实老城
区和
已建成住宅小
区养老服务设施酣建
,2025年
裰
|建
设施达标率达到
100%。
加
快既
有设施适老化政
谴
,提
升社
区先障碍设施建设水平。
发展社
区
养老服务机构
。继续加大街道社
区和
乡镇综合养老
服务
申
心
建设运营
,建
成
一
批具
备
全
日
托养
、
日
i司
照料、上
门服
务、供
孺对接
、资源统簿等功能酶区域综合养老镞务
中
心
,提
商
运营管
理效益
,与
社
区
养老机构实现功能互补
,到
2025年
,城
市区域综合养老服务
中
心
实现全覆盖
,乡
镇建有率达到
60%。
支持建设专业化养老机构
。聚焦高龄及失能老年人长期照护
一
.10
-
-11-
服务
的
刚性需求
,重
点挟持发展满足基本养老服务需求、服务商
龄及失能老年人
的养老机构
,不
断提离养老机构
的专业化服务水
平。支持养老机构提升照
护能力
,合
理延伸服务范围
.依
法依规
开展
医
疗
卫
生服务
,为
老年人提供
一
体化的健康和养老服务
。引
导有条件的地
区
对普通型床位和护
理型床位实行差异化补助
,到
2025年
,全
省养老机构护理型床位
占比提离到
55%。
(六
)支
持各类主体扩
大
普
惠性服务
。
鼓励社会
力鳖兴
办养老机构。全面放开养老服务市场
,完
善
和落实民办养老机构支持政策
,引
导社会力受裰据市场
簿要
,兴
办面
向申高收入家庭
的养老机构
,满
足老年人
多层次、全
方位、
个性化机构
养老
服务
需求。支持养老机构依
法设
立
多个
服务
网
点
,实
现规模
化
、连锁化、品
牌化运营。
加大
国有经
济对普惠养老
的支持
。落实
国有经
济对养老服务
供
给的补短板机锏
,鼓
励
国有经济在养老基础设施领
域布局。引
导国有资本
积
极培育发展
以普惠养老
服
务为主
夤主业
的国有企
业。对主要承担赛老服务功能
的国有企业
,蓬
点考核服务质量、
成本控翎、运营效率等情况。
推进政府购
买养老服务改革。备地
明确购买主
体
.、
赛定承接
主
体、确定购买内容
,积
极有序开展政府购买
养老服务
王
作
。链
全完善政
府购买养老服务
目录和标准
,建
立
与经济社会发展水平
相适应
的动态调整机制
,重
点购买生活照料、康复护理、
机构运
营、社会
工
作和人员培训等服务。
△△
工
工
1‘
··
)
上乙
五
、囊化鑫家社区赛老服务铑
力
《
七
)构
惑城
乡
老
年
助
餐
服
务体
系。
i
全面建
立
助餐服务
网络。支持利用社
区、村养老服务设施和
闲至房屋等资源
,打
造一批食材可溯、安全
卫
生、价格
公
道
的标
准化老
年食
堂
(助
餐服务点
)。
重点补齐农村
、远郊等助餐鞲务
短极
,支
持
当巍养老服务机构、餐饮蛎所等蹭加助餐
功能
,推
广
邻里互
助的助餐模
式。丰富和创新助餐服务提供机制
,因
地锏宜
采取
中央厨房
、社
区食
堂、流动餐
车等形武
,降
低运
营成本
,便
利老年人就餐。
支持
镯
质量多
元化供餐
。圃绕更好满足老年人
多层次
多榉化
就
餐
需求
,鼓
励
助餐机构开发餐饮
产
品、丰富菜色
品
种
、合理营
养媵食
。建
立
助餐服务合理
回报机制
,由
经
营者根
据实际服务成
本和适度利润水平确定收费标准
,引
导更多市场主体参与助餐服
务。引导外卖平
台等市场主体参与助餐配送
|。
推动助餐机构
投保
食
品安会责任保
险。
(八
)开
展
助浴助洁和
巡访关爱服务
。
大力发展老年人助浴助洁服务。支持社
区助浴点、流动助浴
车、入户助浴等多种业态发展
,培
商
一
批专业化、连锬化助浴机
构
。支持家政企
业开发被
|褥
清洗、收纳
整理
、
消毒
除尘等蘧合
老年人需求的保
洁服
务产
品。弓
|导
物业企
业将保
洁服务
范
围由
公
共
区域
向老年人家庭延伸
。支持有条件
的地
区通过政府
购
买
服务
、组织开展
志愿服务等方
式
,为
特殊
因难老年
人提
供
瀚
洁
-
12
-
-13-
服务。
加强居家老
年入探
访关爱。面
向独居、空巢
、留守、失能、
重残
、计划生育特殊家庭等老年人开展探访关爱
,实
行普遍巡访
和重点巡访相结合
,通
过定期上门入
户、电话视频、远
程监测等
方式
,了
解掌握特殊
因难老年人居家
生活情况
,支
持赔养人
、
挟
养人履行赡养
、扶养义务
,并
根据实
际需要提供政策
宣传
讲解、
需求转介和必要
救援等服务。
(九
)提
升居
家服务供给能力。
提离老年人生活服务可及性。依托社
区
养老服务设施
,引
导
社区综合服务平
台广泛
对接老
年人
需求
,提
供就近就便
消
费服
务。组织驷
弓
|导
物业企业、零售服务商、社会
工
作服务机鹅
等拓
展为老服务功能
,提
供
生活用
品
代购
、餐饮
外卖、家政预约
、代
收代缴
、挂号取
药、精
神慰藉
等服务。鼓励专业
养老服务企
业、
家政企业、物业企业
及备类社会组织等为居家老年人提供生活照
料、家政服务、医疗康复、精神慰藉
、紧急救助等服务。
培育
老
年人
生
活服务新
业态。推动
“
互联
网十
养老擞务
”
发
展
,推
动
互
联
网平
台企业
精准对接为老服务需求
,支
持社
区
养老
服务机构平
台化展示
9授
筷
“
菜单式
”
就近便捷为老腹务。弓
|导
有条件
的养老
服务机
构
线上
线下融
合发展
,利
用
互
联
网
、大数
据、人
工
智能等技术创新服务模式。鼓励互
联
网企业开发面
向老
年入备种活动场景的监测提醒
功能
,利
用大数据方便老年人
的居
家出行
、健康管
理和应急处工。
△
'
王△
|
~
1.3
六、梅吏
0i老
龄化支持体
系
(十
)|加
强老
年
被康教育和预
防保健
。
完苷键康教育和健康管理
。坚持预
防为
主
,推
行健康
生活方
式
,减
少疾
病发生
,提
高老年人健康素养
,开
展普及健康
生
活方
式行动
,嵌
化
健康
生活方
式揩播
,普
及健康
文
化、
健康赛老理
念
,强
化老年
心理健康科普。倡导科
学健身
,积
极实施老年人体
质健康
于獗
。加强老年人健康素养和生活方
式监测
,倡
导
“
每个
人是
自己健康
第
一
责任人
”
的理念
。加
强老
年人健康罅
璎服
务
,
开展对老年人退行性疾病和常见疾病的早发现
、早干预、早治疗
等
“
三
早
”
健康服务。
实施老年健康促进
工
程。推进
心
理健康服务体
系建设和规范
化管理
,开
展认知障碍
、抑郁等老年
人
常见精神障碍
的预防、早
期
识别
与
|干
预
。促进老年
医疗服
务从
以疾病为中
心
的单病
种模
式
向以患者为
中
心
的多病共治模
式转变。完善老年人健康档案
,加
强动态
管
理
,做
实做优
家庭
医生签
约服
务。发挥
中
医
药在
治未
病
、慢性病锴
理
、疾病
治疗、康
复
、安
宁疗
护醉方
面
螂巍特
作
用
,为
老年人提供
中西
医结合
的健康服务。
(十
一
)发
展
老
年
医疗、康复护
理
和安
宁疗护服务
。
增强医疗
卫
生机
构
为老
服务
能力。推
动
二
级及
以上综
合
医
院、中医医院、中西医结合
医院老年
医学科建
设
,形
成
以省老年
疾病临床医学研
究中
心
为引领
、
|缘
合
医院老年
饭学科为臀子
、基
层
医疗卫生机构为基硇
、相关教学科研机构为支撑的老年
医疗服
-14—
-15-
务网络。加强医
疗机构康复医学科建设和老年护理床位建设
,鼓
励符合条件
的医疗机构转型为康复医院或护理院
,推
动社
区卫生
服务
中
心
老年护理床位设篷。
推
动医疗服务
向居家社
区延伸。支持有条件
的医疗
卫
生机构
为失能、
慢性病
、高龄
、残疾等行动不便或确有
困难
的老年人提
供家庭病床、上
门巡诊等居家医
疗服务。鼓励社会资本兴办社
区
护理
机构
,形
成设施完善、转介有序
的老
年康
复和
护理服
务
网
络。积极开展社
区和居家
中医药健康服务。
开展安宁疗护服务。建立
健全安宁疗护服务体
系
,形
成
以社
区卫
生服务
中
心
为重点
,机
构和居家服务相结合的安宁疗护服务
网络。推动医
疗
卫生机构按
照
“
充分知情、
自愿选择
”
的原则开
展安
宁疗护服务。稳步扩大安宁疗护试点
,推
动安宁疗
护机构标
准化
、规
范化建设。
(十
二
)深
入
推进
医
养
结合
。
革窝医
养结合服务模式。推动养老机构和
医
疗
卫
生机构建设
的项
目衔接和审批合作
,合
理
核定养老机构举办的医疗机构
医
保
限极。鼓励养老机构设至护理院、护理
中
心
、
康复医
疗
中
心
等医
疗机相并纳
入医联体管理
,支
持社会力女通过市场化运作方式举
办医
赛结合机构。鼓励养老机构与医疗
卫生机构开展
多种形式的
协议合作
,支
持有条件
的医
疗机构按规定提供养老服务
,鼓
励执
业医
师到养老
机构设工
的医
疗机构
多点执业。
坩加
医
赛结合服务供给。推进社
区卫
生服务
中
心
和社
区综合
-
15
-
1‘
=
Io.
为老服务中
心
医赛
结合功能建设
。加强家庭病床服务
,提
离基
层
医
疗
卫生
机构为居家老年人提供
上
门
医
疗服务的能力。充分发挥
“
陇药大省
”
资源优势
,鼓
励
中医医院与赛老服务
融合发展
,每
个市州
至
少建
成
1所
医赛康护
一
体化的中医药
箧赛结合服务
示范
机构。
提升医赛结合服务质证。完善医养结合信息管理系统
,使
全
医赛结合标准规范体
系
,推
动医疗
卫
生、养老服务数鑫共享。强
化
医券结合机构
医疗
卫生服务质量监管
,加
强医
养结合基础设施
建设、设施标准化
配备
、人员队伍建设等医
养结
合服务
的有效供
给。进
一
步加大老年
医学、康复、
护
理
、
心
理、安宁疗护等专
业
人才的培训。
(十
三
)强
化
老年
人
疫情
防控
。完善居
家、社
区和
入
住机
构
的老年
人痰恃
防控措施
,加
强老年人疫苗接种服务
,撮
升机构痰
情
防控能力
。在疫情应
急处置
中
,充
分发挥社
区居蓊会
、物
业、
志愿者
、社会
王
作者
的作用
,做
好独居、空巢、留守、
失铯、透
残、计划生育特殊家庭
等老年人
的
就
医
帮助
、
生
活服
顾
、
心
理慰
蒋等服务。
七
、大力发展银发经济
(十
四
)发
展
壮大老年
用品
产
业
。推动老年用
品
进产
业园
区、
展
会
、商场
、
机
构
、社
区和家庭
。开展
“
孝老
爱老
”
购物
节活
动
,鼓
励
电商和零售企业
在重
阳节期
间开展
“
孝老爱老
”
鹦
物活
动
,设
立
老年人用
品专卖店
,通
过线上线下联
动
,集
中展示、销
-
16
-
-17-
】
售老年用
品
,激
发消费热情。鼓励支持企业生产可穿戴
、
便携
式
监测、居家赛老
监护
等智能养老
设备
,以
及适
合老年人
的
日
蹋
品、食
品、像健品、服饰等产
品用品。加大老年产
品和老年旅游
用
品研发力度
,发
展
以中医药养生保键
为特色
的老年用
品产
业
,
推动文化产业与养老产业融合发展
,支
持和鼓励
企业为老年人蠹
身开发文化娱
乐产
品
,丰
富老年人文化生活。
(十
五
)促
进老年
用品
科技化
、智能
化
升
级
。积极研发
申老
年使鏖产
豳、
|老
龄用
品、大健康产
皤、健康
医药等康赛产
.品
,|推
动老龄用
品
产
业
发展
。依托
国际技术转移平
台、科技资源共享平
台等科技孵化平
台
,紧
扣
细
胞
工
程、基
因技术、抗肿瘤药物等
国
内外最新技术
,推
动高新技术在
我省老年用
品
领
域
的推广应用。
加强智能化升级
,加
快新型智能终端产
品研发
。支持智能化康复
辅助器具
、
健康监测产
品、
养老监护装置、家庭服务机器人、
回
用辅助用
摊
簿蘧
老产
品
的研
发。
(十
六
)推
动
“
互
联
网
+养
老服务
”
发展
。潜力构建
“
互
联
网
+养
老簸务
”
新模
式
,促
进人
工
智能、物联
网、云
计算、大数
据等新技术和智能硬件等产
品
在养老服务领域深度应用。构建赛
老资源整合
的服务
管理
平
台
,为
老
年人开通
家政预
约、购扬鹦
药、链康罅
|篷
、就
医
挂号、绿色转诊等
多项
网上服务功能。强化
老年用
品的科搜支撑
,加
快推进
互
联
网、
5G等
信
息技术和蟹
鸵
硬件在老年用
簿领域
的深度应用。充分运用智能网络技术
,积
极
推广安装人体感应探测、燃气泄漏报警、
一
键呼叫等智能化应急
-
17
-
-18-
■
口
●
a
a
△
a
Ⅱ
通
IIIIrt●
■
■
■
■
口
口
口
日
日
日
保
臃
∷
镀备
,为
商
龄
、失能、重度减疾老年人实施居家智
能化遗老
改造。
(十
七
)有
序发展
老年
人
普
惠金
融服务。加
大信贷投放力度
,
积极弓
l导
全
融机
构将老年人普
惠金
融服务作
为
业务
重点扶持领
域
,特
别是在养老服务体
系建设、支持老年人普忠
金融服务发展
方面加
大金融支持
,在
贷款规模、贷款条件等方面给予倾斜
。创
新金融产
品和服务方式
,引
|导
金融机构根据老年人
的财务状况
、
家庭情况
、健康状况
、金融需求及风险承受意愿和能力等方商开
发符合老年人
需
求偏好
的多元化金融产
品
,促
进老年人普忠
金融
发展
。引导金融机构创新服务模
式
,制
定符合老年人特
点的个性
化、差异化服务方案
,有
序推
动
养
老康养服
务
融合发展
,提
供
“
养
老产
品
+寨
老社
区十
养老服
务
”
的
一
站式养老方
案
,激
发
券
老金
融市场活力
,提
高老年人群体
享受金融服务的便利性。
八
、践行积
极老龄现
(十
八
)开
发利
用老年
人
力资
源。
创
新发展老年
教育。依托甘肃开放大学簿建甘肃老年开放
大
学
,鼓
励社会力量举
办老年大学
(学
校
)。
加
强社
区教
育与老年
教育
网络体
系巍
合发展
,建
立
健全县
(市
、区
)、
乡镇
(街
邋
冫
、
村
(社
区
)三
级社
区老年教育体
系。鼓励有条件的普通高校
、职
业学校和各类社
区教育机构建设饯质课程资源
,构
楚符合老年人
学习需求、具有地方特色的老年教育课程体
系
,推
动优质课程资
源开放共享。鼓励有条件的职业
院校
面向老年人开设
一
定学时的
-
18
-
-19-
老
年
人
护理
、保
健
等
课
程
。积
极
开
展
“
全
民终
身
学
习活
动
用
”
“
智恁助老
”
“
能者为
师
”
等活动
,服
务老年人终身学
习。
加强老年人就业服务
。备地建
立
老年人才信息库
,为
有
劳动
志愿
的老年
人
提供
职
业
介绍
、职业技
能培
训和创
新创
业
指
导服
务。对时赛负担重
的零就
业
家庭成
员
,且
难
以通过市场渠道
实现
就业创
业条件
的
,按
规定优先安排公
益性
岗位
。
鼓励老年
人社
会
参
与。支
持老
年
人
依
法从
事经
营和
生产
活
动
,兴
办社会公
益守业
,鼓
励专业技术领域人才合理延长
工
作年
限。支持基层老年人
协会等老年社会组织规
范化建设
,促
进老年
人通过社会组织实现
自我管理
、
自我服务
、
自我发展
。积极
实施
“
银龄行
动
”
计划
,为
医
疗
卫生
、文化教
育
、农
业科技
等行
业
的
专业
技术人才支持
支援
乡村振
兴搭建平
台。推广
以
“
时问银行
”
等为我体
的为老
志愿服务
,探
索志愿服务政策支持体
系。进
一
步
发挥老年社会
组织党组
织作用
,引
导老
年人
积极参
与社会
治安
、
民革调解、公
益慈善
、
教科
文
卫
、关
心
下
一
代
等志愿服务活动。
(十
九
)丰
富老年
人
文
体休
闲生活
。
扩
大
老
年
文
化
服
务
供
给
。全
面
落
实
公
共
图
书
馆
、文
化
馆
(站
)、
美术馆免费开放政策
,进
一
步完善免费开放信
息
公开
、监
督评价
、续效管理等机制
,确
保
“
三
馆
一
站
”
亩质
I开
展基本
公
共文化服
务
。面
向老年人群体开展效字技能和文化
艺术培训
,切
实解决老
年群体运
用智能技
术
因难等
问题。完善优
化包括
需求征
集
、预
约预定
、点赞分
享、在
线
互
动等功能
的移动端
公
共数字服
-19-
on
乙
V
务
。积极组织开展全省性老年人合唱
比赛
、广场舞大赛等示范性
活
动
,引
镢老年人文化活动常态
化
开展
,不
断丰
簿
老年人褚
神文
化
生活。完善文化场馆和旅游景
区公
共信息设施
,方
便老年人获
取
搬夯馕恿。
支
持老年人参
与体育健身。在体育公
圈、全
民健身
中
心
等
公
共体
育设施布局
中充分考虑老年人健身需求
,加
强配套运动场所
和设施的凝划建设
。鼓励开发适合老年人的体商键身项
国
,搭
建
平
台组织相关赛事和锻
炼展示活动。鼓励建
立
老年人全
民健身志
愿服务队伍
,指
导和帮助老年人科
学开展各类体商健身瑕
回。
促进养老旅游融合发展。结合老年群体文化娱乐和精神休
闲
翳求
,合
理布局功能齐全、地域特色鲜明的中医药保健养
生旅游
基地。依托文化旅游景
区及月边
特
色养
生文化资源
,规
划打造
一
批集
中医康复
医疗、养生保
健、体
闲旅游为
一
体的老年文化服务
场所
,设
计老年文化活动产
品
,打
造
中医药养
生
养
老保健旅游线
路
,不
断丰富老年文化旅游服务供给。规划打造文化旅游领域
内
的康养融合产业项
目
,将
气候
、生态、休阏等
多种康养元
素融入
养老产
业
,发
展康
复疗养
、旅居养老
、休
闲度假
型
“
候
鸟
”
养
老
、老年文化活
动等业态。打造蘖养老居住、
养老
配套
、养老服
务为
一
体
的康养文化旅游度假基地等综合开发项
目
,为
老年人提
筷集养老居住、妖疗护理、休
闲度假
等功能为
一
体
的养老旅游服
务
,带
动餐饮
、医药、老年用
品、金
融、文化旅游等
多产
业
的融
合发展。
-
20
-
o.1
乙
△
九
、曾遭老年友好避社
会环境
(二
十
)传
承弘扬
家庭
孝
老传统
奖穗
。
强化家庭赡养老年人的主
体责任
。巩固和提升家庭养老育幼
功能
,建
立
常态化指导监
督机锏
,督
促赡养人履行赡养义务。支
持养老
飙构
、社工
机构
、红十字会
以及其他社会组织提供应急暾
护和瞧
护技
能培训服务
,捷
升失能、失智老年人家庭成员照
护能
力。落实独生子女父母
陪护假
制度
,制
定有利于成年子女与老年
父母共
同居住
的支持政策
,构
建代
际和谐社会
。
完善家庭养老支持政策体系。推动各地警遽建
立
家庭赛老支
持政策
,支
持养老机构鞲养老
护理专业服务延伸
至
老年人
篆庭
。
支持建设
“
家庭养老床位
”
,完
善相关服务
、管理、技术等规
范
以及建设和运
营政策
,健
全上
门照
护的服务标准
与合
同范本
,让
居家老年人
享受连续、穗定
、专业的养老服务。开展失能老年人
家庭照护者技能培训
,螬
强家庭照
护能力。
(二
十
一
)推
进社会环境适老化改
造
。
提升社
区
和家庭适老化水平
。有序推进城镇老
旧小
区
改造
,
完成小
区路面平整
、
出入
口
和
通道
无
障碍
改造
、地
面防滑
处
理
等
|口
移耧耱
沿墙加装挟手
,在
楼层
间安装挂
鐾式侏恩椅等
,镦
好
应急避
险等安全
防护。有条件
的小
区可建谖凉亭、休
闲座椅蘩。
完善社
区卫
生服务
中
心
、社
区综合服务设施等的适老化改造。推
动将通老化标准融入
农村人居环境建设。实施居家适老化改遘行
动
,黟
l导
城
乡老年人
家嶷裰据老年人身体状况、康
复器奥
鞯求、
-
21
-
oo
乙
乙
居住环境簿噙况
,对
住宅及家具设施进行适老化
改造
。对纳入分
散铸
因供养
的失能、南龄
、残疾老
年
人家庭
实施居
家适老
化
改
迄
,有
条件的地
区可将改造对象范睁扩大到城
乡低保对象中梅失
筢、离龄、残
疾老年人家庭和
计划生育特殊家庭
等。
推动
公
共场所适老化。大力推进无障碍环境建设。加大城审
道路、交通设
施、公
共交通
工
具等适老化改造力度
,在
机场
、火
车站、
三
级以上汽车客运站等公共场所为老年人设至专席
以及绿
色通道
,加
强对坡遘
、电梯、扶手等
的改造
”全
面
发
展适老型智
能交通体
系
,提
供便捷舒适
的老年人
出行环境
。推动
乡镇衡遣
、
城
乡社
区公共服务环境适老化
改造。
(二
十
二
)建
设
兼
顾
老年
人
需求的智慧社会
。完善传
统服务
保蹿措施
,为
老年入
提供便利生活的同时解决运
用
繁能技术溺难
问题
。广泛开展老年
人运用智
能技术教育培
训
,推
进
智
能化服
务
,各
级政务服务平
台逐步具
备援权代理、亲灰代
办等功能分方
便不使用或不会操作智能手机
的老年
人
网上办事
,备
级政务服务
大厅设王必要
的志愿者服务
岗
,为
老
年人
办理
业务
·
提供人
工
帮
助
,长
效解决
“
数字鸿沟
”
难题。
(二
十
三
)培
育敬
老爱老助老社会风尚
-。
营造
良好社会氛
围。结合培育和践行社会
主义核
心
价值观
,
把敬老爱老纳入社会
公
德
、职业道德
、家庭美德
、个人
品
德建设
内容
,纳
入文
明城市、文映
村镇、文明单位
、文明校
园、文明家
庭创建要求。深入开展人
田
老
龄化国情教育。实施
申华孝
亲镶
老
-22-
-
23
-
文化传承和创新
工
程
。持续推进
“
敬老月
”
系列活动和
“
敬老
文
明号
”
创建活动。加强老年优待
工
作
,进
一
步拓展傥待项
目、创
新优待方式
,在
醵
留位置设蘧老年人优待标识
,据
广老年人
凭身
份
证
铧有效
证
件事爨
∷
各项优待政策。
积极发挥
多方合
力。打造
以社
区为平
台、养老服务类社会组
织为载体
、社会
工
作者为支撑
、社
区
志愿者为辅助
、社会慈善资
源为补充
的
“
五
社联动
”
机制
,组
织开展互助
养老行
动。不断壮
大为老服务志愿者
队伍
,开
展老年人
生活服务、健康服务、精神
慰藉
、法律援助等活动。
十、嘈强发展要素支球体
系
(二
十
四
)推
动培训疗
养机构转
型发展
莽
老
驳务
。
将转型发
展普忠赛老作为党政机关和
国有企事业
单位所属培训渖赛机构
改
革的主要方
向
,推
进
一
批转型养老项
目
,主
要面向
王
薪
鼢层提供
医
养结合型、社
区型等价格
可承
受、质
量有保
障
的普
惠养
老服
务。结合不
同机构的基础
条件
、资产特
点等
,用
好用足备类支
持
政策
,降
低
改造和运
营成本。
(二
十五
)完
善用地
用房
支持
政
策
。
科学规划布局
新蹭用
地。在编制市、县
国主空润魏划和详
细
规划
时
,按
蹋
辘
审鬻住
区规
划
设计标准
、城
市
公
关
.谖
施
规
划规
范、城镇老年人设施规
划规范等国家标准和规蹴
,分
区分级为养
老服务设施建设做好空间保障
,并
明确独
立
占地
的赛老服务设施
位工、指标等和非独立
占地
的养老服务设施
内容
、规模
等要求
,
-
23
-
r)刀
乙
△
同步做好详
细规划数据
人库备案
工
作
。
优化存童
设施利用机制。鼓
励
利
用商业、办公
、工业、仓储
存士房遘以及社
区用
房等举办养老机
构
,所
使用存女房基在
符合
详细规划
且不
改变用地主
体
的条件下
,可
在
五
年
内实行
装续按
土
地原用途
·
秭权利类型适用过渡期政策
,过
渡期瀚及涉及转
|读
|滁
办
理改变用地
主
体手续的
,新
用地主体为非
经
营性的
,原
焖拔
土地
可继续
以划拨
方
式
使
用
,新
用地
主体
为营利性
的
,可
以按
新用
途
、新权
稷类
型、市场价格
,以
协议方式办理
,但
有偿使
用合
同
和划拨决定
书
以及
法律
法规
等
明确应
当收
回土地使
用权
的情形
除外。
(二
十
六
)强
化
财政
资
全
和金
融保
障。播
续加
大财政投
入
,
统筹资全保
障老龄事业和养老服务发展
需求
,落
实老
龄
工
作
经
费
,建
立
穗
.定
的老龄事
业经费投
入
保
障机制。备级政府厣于社会
福利革
业的彩果
公益全
60%以
上用于支持发
展养老服务。
(二
十
七
)扩
大为老服务
人
才
队伍建
设
。
完善养老服务人才激励政策。
以企业
自主评价
、社会化职业
技能等级认定和专项职业能力考核
为
主
,培
养
一
批具
备
一
定
基
础
、综合实力
强的企业和培训机构
,面
向健康养老行
业
技能
人才
提供
多元化技
能评价服务
,充
实老年健康特别是长期照护服务
队
伍。鼓励养老服务机构按
照国家养老服务职业技能标准和行业企
业评价规
藏要求
,贯
通职业
技能竞赛
、
岗位练
真、技术
比
武等竞
赛结果
与职业资格或等级的认定
,拓
宽职业发展空间。
-
24
-
0E
乙
0
拓宽人才培养途径。鼓励各级教育行政部
门建
立老年教育师
资专家库和志愿者庠
,推
动专家、教
师和
志愿者资源共
享共用。
建
立
老年教商
教
师培训斛度
,加
大对从事老年教
商的教
渐、技术
人
员管理人员的鳍谢力震
,提
升老年教育师资
队伍的整体能力和
水平
。鼓励有条件
的离校设置老年健康教育相关
专业
|,积
极开展
养老
护理
、老年熙护等职业技能等级认定
工
作
,实
施职业技能水
平评价
。鼓励各级备类学校制定激励措施
,支
持本校教师、毕
业
生、离退休教职
工
等到校外老年教育机构兼职任教或从事志愿服
务。引导老年
医学、康复
、护理
、营养
、
心
理和社会
工
作
等专
业
人才从事老年教育
工
作。依托康养服务企业、职业虢
校
、技
工
院
校和培训机构广泛开展康养服务人
员岗前培训、岗
.位
技能提升堵
训、转
岗转
业
培
训和
创
业培
训
,提
升从
业
人
员技
能
水
平
。到
2025年
,培
训
赛老
护理
员
6万
人次
以上。依
托康
赛服务
企
业、
职业院校
、技
工
院校和培训机构、医疗机构
、养老机构
,建
成
5
个省级
(康
赛
)高
技能人才培训基地。
十
一
、维护老年人合法权益
(二
十
八
)加
强市场主体行为监
管。
落实市
场主体准
璃承诺。建
立
健全
养老服务机摺备案馆用承
诺制度
,备
案
审耱人书面承诺养老服务机构按
鼷有关
蠛
镎
法
规和
国家标准开展活动
,书
面
承诺
向社会
公开
,履
约情况说人信用
记
录。督促养老服务机构落实主
体责任
,主
动防范消除本机构在建
筑、消防、食
品、医
疗
卫
生等方面
的风
险隐患
,提
离赛老服务、
—
25-
-
26
-
安全
管瑗、风险防控
的能力和水
平
。
加簿市场运营秩序监管。强化市场运营秩序监
管
,对
表撤
法
取符啻业执
,累
以市场主体名义从事赛老服务经营活
动、未
缝鍪
|记
拄
自以社会服务机构名义开展养老擞务活动、未经登记
管
理
魏关
核准登记
控
自以事业
单位法人名义开展养老服务活动等无证无照
行为
,加
大依法打击查处力度。严禁利用养老服务机构设施和场
地开展
与赛老服务无关的活动。揩
导养老服务机构按照国家有关
规定和
当
事方协议约定提供服务
,建
立
纠
纷协商调解机斛
,乳
辱
老年人及其代理人依法维权。
(二
十九
)引
导行
业规
范健康发展
。
健全养老服务综合监管制度。按
照
“
谁审批、谁监管
;谁
主
管
、谁监
管
”
要求
,建
立
职权
明确、分
工
协作
、科学有效的综合
监管制度
9稼
极推进跨部
门
“
双随机
、
一
公开
”
监管和联合执法
工
作机
皴。加强
养老服务行业信用体
系建设。建
立
部
门阏
数
·
耱接
口
,实
现券老服务企业信息共享
,加
强事
中事后监管
,加
大联合
执
法力度
,依
法严厉查处侵害老年人权益的非法集资、传销
、
欺
诈销售等违法犯罪行为。
优化养老服务营商环境
。完善养老机构备案办事指南
,优
化
办事流程
,实
施并联服务
,
明确办理
时限
,推
进
“
马上
办、网上
办、就近办
”
。钢定养老服务领域政务服务
事项清单
,建
立健金
“
好差评
”
镧度
,持
续
改进提升政务服务质量
。加
强政府信
息
公
开力度
,及
时
发布养老服务相关的供
需信息、登记
备案信息、相
-26-
o'7
Zf
1
关法律法规和政策措施等
,便
于公
众
了解、查询和利用。推进要
素市场制度建设
,实
现要素价格市场决定、流动
自主有序、配王
商效公
平
。
推进养老服务标准化建设。推动制定和完营各类养老设施安
全、
管
理和服务等规
范。加快推进
已出台养老领域
国家标准
、行
业标准、地方标准宣传贯彻
工
作。支持养老服务领域行业组织和
机构推行标准化服务。
(三
十
)加
强老
年
人
消费
权益保
护。加大联合执法力度
,严
厉查处老年人产品和服务消费领域的侵权行为
,特
别是
向老年人
欺诈销售各类产
品和服务的违法行为。广泛开展老年人识驹
防驹
宣传教育活动
,提
升老年人抵御欺诈销售的意识和能力。加大养
老诈睇重点防范和整治
工
作力度
,做
好政策宣传和风险提示
,对
涉嫌犯罪的依法
打击。做好特殊困难老年人
的法律服务、法律援
助和
司法
救助
。
十
二
、保锋措施
(三
十
一
)加
强组织领导。坚持
党对老龄夺
业
发
展和养老服
务的全面领
导
,为
规划实施提供坚强保
障。备地要将本规划重点
任务纳入重要议事
日
程
,纳
入经济社会发展规划
,纳
人
民生
实夸
顼
登”
∷
纳
入工
作备查和绩效考核
范围。备地要按
照本规划要求
,
绪各实
际情况
,细
化相关指标
,推
进备项任务落实落细
,确
保
取
锝舆效。
(三
十
二
)完
善
法
制保降
。落实
《中华人
民共和
国老年人权
-27-
-
28
-
益
保
渖法》《
甘肃省养老服务条馏
》等相关法律法规
,充
分发挥
在保护
当事人权益、维护市场秩序、规范合
同管
理
、调解处理服
务纠纷等方面的重要作用。健全完善老年人权益保
醉、养老服务
静
方
·
面的法规规率和规范性文件
,为
老龄事业和赛老服务发展提
供有力
的法治保
障。
(三
十
三
)严
格督
导考核
。省发展
改革委、省
民政厅、省
卫
生健康
委会
同有关部
门加强对各地
的指导、督促
,对
·
涉及约束性
指标要明确费任主
体
,及
时了解完成进度
,及
时发现和解决突
出
问题
,加
强绩效管理
,稳
步推动本规划全面落实。
抄送
:省
委办公厅
,省
人大常委会办
公厅
,省
政协办公
厅
。
啜
啜
旺
■
■
■
■
■
曰
u
■
■
口
口
口
口
■
■
■
△
●
■
Ⅱ
Ⅱ
●
s
s
晒
嗖
Ⅱ
n
■
Ⅲ
甘肃省人
民政府办公厅
2022年
11月
24日
印发
9
o0
如
嘉峪关市老龄
工
作委员会办
公室
2022年
12月
12日
印发
o
oV
打印
关闭